การประยุกต์ใช้กราฟในชีวิตประจำวัน

การประยุกต์ใช้กราฟควบคุมโครงการ

ในการทำงานต่าง ๆ ต้องมีการวางแผนงาน มีการหาเส้นทางวิกฤติของงาน (Critical Path) นั้นคืองานบนเส้นทางวิกฤติเป็นงานที่จะต้องให้ความสำคัญ ถ้างานใดงานหนึ่งบนเส้นทางวิกฤติล่าช้าย่อมหมายถึงการทำให้โครงการล่าช้า

การหางานจึงต้องมีลำดับงาน เช่นการสร้างบ้าน จะต้องมีขั้นตอนการตอกเข็ม การทำฐานราก ขั้นตอนการตอกเข็มต้องทำก่อนจึงจะทำฐานรากหรือที่เรียกว่าเทคอนกรีตตอม่อได้

เช่นถ้าตอกเข็มใช้เวลา 7 วัน การทำตอ่ม่ออีก 4 วัน เส้นทางนี้จะใช้เวลา 11 วัน เพราะการตอกเข็มต้องเสร็จสิ้นก่อนจึงจะทำตอม่อได้

คราวนี้ลองมาดูว่าถ้านายวิชา รักวิจัย ต้องการทำโครงงานเกี่ยวกับการศึกษาวิจัยเพื่อเป็นวิทยานิพนธ์ของมหาวิทยาลัยแห่งหนึ่ง นายวิชาได้วางโครงการโดยแบ่งขั้นตอนการดำเนินงานดังนี้

งานระยะเวลาที่คาดจะใช้
(สัปดาห์)
  A   การศึกษาเบื้องต้นและศึกษาความต้องการ3
  B   การสร้างโมเดลต้นแบบ5
  C    การเก็บรวบรวมข้อมูล6
  D   การแปลความหมายข้อมูล1
  E   การทดสอบกับข้อมูลทดลอง2
  F   ส่งให้เพื่อนและผู้อื่นวิจารณ์2
  G   ให้ผู้ใช้วิจารณ์1
  H   ปรับปรุงโมเดล3
  I    ทดสอบกับข้อมูลจริง4
  J   ปรับปรุงขั้นสุดท้าย4
  K   นำเสนอสำหรับใช้งาน 1

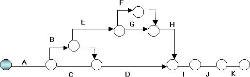
แต่อย่างไรก็ตาม มีงานบางอย่างที่ทำหร้อมกันได้ บางอย่างต้องรอให้งานหนึ่งเสร็จก่อน งานบางอย่างเริ่มได้ก่อนแต่เสร็จแล้วต้องรองานอื่น ซึ่งสามารถเขียนเป็นกราฟได้ดังรูป

จากรูปกราฟ แสดงให้เห็นว่า เมื่องาน A เสร็จแล้วจึงจะเริ่ม B และ C ได้ งาน E และ C แล้วเสร็จ ดังนั้นจึงมีจุดไข่ปลาหมายถึง dummy หากดูให้ดีจะเห็นว่างาน E ทำเมื่องาน B แล้วเสร็จ แต่ไม่ขึ้นกับงาน C และ D

เมื่อคำนวณจากจุดเริ่มต้น โดยให้

       หมายถึงงาน I             หมายถึงเวลาที่เริ่มได้เร็วที่สุด              เวลาที่เริ่มได้ช้าที่สุด

ผลที่ได้หมายถึงงานที่ 1 เริ่มได้เร็วสุดตั้งแต่เวลา 0 และเริ่มช้าสุดไม่ควรเกินเวลา 0 เช่นกัน งานที่ 7 จะเริ่มได้เร็วสุดตั้งแต่เวลาสัปดาห์ 9 และเริ่มได้ช้าสุดไม่เกินสัปดาห์ที่ 14 ซึ่งจะยังไม่ทำให้งานเสียหาย

งานโดยรวมใช้เวลาทั้งสิ้น 24 สัปดาห์ โดยมีเส้นทางวิกฤติที่งาน A, B, E, F, H, I, J, K หรือกล่าวได้ว่าถ้างานดังกล่าวบนเส้นทางวิกฤตมีผลการดำเนินการล่าช้ากว่าที่คาดคะเนไว้จะทำได้งานโครงการไม่เสร็จสิ้นภายใน 24 สัปดาห์ ดังนั้นจึงต้องให้ความสำคัญของงานบนเส้นทางวิกฤติเป็นกรณีพิเศษ


ที่มา : รศ. ยืน ภู่วรวรรณ, สำนักบริการคอมพิวเตอร์ มหาวิทยาลัยเกษตรศาสตร์