ระยะทางที่สั้นที่สุด

การเดินทางจากจุดหนึ่งไปยังอีกจุดหนึ่ง ถ้าเลือกได้เราก็ต้องพยายามหาทางเดินในเส้นทางที่มีระยะทางที่สั้นที่สุด


รูปที่ 1
การเดินจากมุมหนึ่งของสนาม ABCD ดังรูป 1 หากต้องการเดินจากจุด A ไปยังจุด C ถ้าไม่มีป้าย "ห้ามเดินลัดสนาม" ติดไว้ เส้นทางที่สั้นที่สุดที่ควรจะเดินก็คือ เดินตามแนว


รูปที่ 2
ถ้าสนามเป็นรูปโค้ง เช่นเป็นรูปวงกลม ดังรูปที่ 2 การเดินจากจุด A ไปยังจุด C ระยะทางที่สั้นที่สุดก็คือ เดินตามแนว

การหาระยะทางที่สั้นที่สุดจากการเดินบนสนามที่กล่าวมาข้างต้นสามารถหาคำตอบได้ง่าย แต่ถ้าท่านจะต้องเดินบนกล่องที่มีลักษณะเป็นลูกบาศก์ ABCEDFGH ดังรูปที่ 3 โดยต้องการเดินจากจุด A มายังจุด H (โดยสมมติว่า ท่านเป็นคุณมดแดงที่สามารถเดินไต่ขอบกล่องได้ เดินบนผิวกล่องได้ ไม่ว่าผิวกล่องจะอยู่ในลักษณะขนานกับแนวราบ หรือในลักษณะตั้งฉากกับแนวราบก็ตาม และมีข้อแม้ว่าท่านจะเจาะทะลุกล่องไม่ได้) ท่านคิดว่า เส้นทางใดจึงจะมีระยะทางที่สั้นที่สุด

หลังจากมอง ๆ เล็ง ๆ ดูแล้ว หลายท่านอาจบอกว่า ระยะทางที่สั้นที่สุด คือการเดินตามแนวเส้นทแยงมุม AC และไต่ลงมาตามขอบ CH ซึ่งถ้ากล่องลูกนี้มีขนาด1 ลูกบาศก์หน่วยจะหาระยะทาง AC+CH โดยใช้ทฤษฎีบทของปีทาโกรัสหา AC แล้วจะได้ AC + CH เท่ากับ + 1 หน่วย หรือประมาณ 2.414 หน่วย

ไม่ทราบว่ามีท่านอื่นหาระยะทางที่สั้นกว่านี้ได้หรือไม่และวิธีคิดอย่างไร

ลองช่วยกันคลี่กล่องซึ่งเป็นทรงสามมิติออกมาเป็นแผ่นดูว่าจะช่วยอะไรได้บ้างหรือไม่

ถ้าตัดก้นกล่อง EFGH ออกและตัดกล่องตามขอบ AF, ED, CH และBG แล้วคลี่กล่องออกจะได้แผ่นที่คลี่แล้วเป็นดังรูปที่ 4

จากรูปที่คลี่แล้วนั้นจะเห็นได้ทันทีว่าเส้นทางที่สั้นที่สุดที่จะเดินจากจุด A มายังจุด H มี 2 เส้น ทาง คือ การเดินตามแนว โดยอาจจะเดินข้ามขอบ BC ที่จุด I หรือข้ามขอบ CD ที่จุด J  โดยที่ I และ J เป็นจุดกึ่งกลางของ และ ตามลำดับละความยาวของ ซึ่งเป็นระยะทางที่สั้นที่สุดนั้นเท่ากับ หรือประมาณ 2.236 หน่วย

ซึ่งหากพิจารณาบนกล่องแล้ว เส้นทางที่มีระยะทางที่สั้นที่สุดมี ถึง 6 เส้นทางคือ เมื่อ I, J, K, L, M และ N เป็น จุดกึ่งกลางของ BC, CD, DE, EF, FG และ GB ตามลำดับแล้ว ระยะทางที่สั้นที่สุดได้แก่ AI + IH, AJ + JH, AK + KH, AL + LH, AM + MH และ AN + NH ซึ่งต่างก็เท่ากับ 5 หน่วย

สิ่งที่น่าสนใจต่อไปก็คือถ้ากล่องที่คุณมดแดงจะต้องดินไม่มัลักษณะเป็นลูกบาศก์ ระยะทางที่สุดที่สุดจะเดินจากจุด A ถึงจุด H จะเป็นอย่างไร

ถ้าให้กล่อง ABCDEFGH มีลักษณะเป็นทรงสี่เหลี่ยมมุมฉากที่มีขนาด 2 x 3 x 4 ลูกบาศก์หน่วยดังรูปที่ 6 ระยะทางที่สั้นที่สุดจากจุด A ถึงจุด H จะเป็นกี่หน่วย จะต้องต้องเดินในเส้นทางใด


หากทำตามวิธีการเดิมดังข้างต้น ดดยตัดก้นกล้อง EFGH ออก แล้วคลี่กล่องออกเป็นแผ่นดังรูปที่ 7 จะปรากฎว่า ได้ระยะทาง AH ออกมาเป็น และ หน่วย ดังรูป ซึ่งระยะทาง หน่วย ได้จากการเดินข้ามขอบ BC และระยะทาง หน่วย ได้จากการเดินข้ามขอบ CD

จะสรุปได้หรือไม่ว่า ระยะทางที่สั้นที่สุด คือ หน่วย

พิจารณาการตัดกล่องโดยตัดด้านข้าง C D E H ออก แล้วคลี่กล่องออกเป็นแผ่นดังรูปที่ 8 จะเห็นว่าระยะทาง AH ที่เกิดจากการเดินข้ามขอบ F G จะเท่ากับ หน่วย และเมื่อเดินข้าม BG จะเท่ากับ หน่วย และเมื่อเดินข้ามของ BG จะได้ระยะทาง AH เท่ากับ หน่วย

จากการหาระยะทางจากจุด A ถึงจุด H บนกล่องที่มีขนาด 2 x 3 x 4 ลูกบาศก์หน่วยข้างต้น จะเห็นว่า จากจุด A ถ้าเดินข้ามขอบกล่องด้านที่ยาว 2 หน่วย จะได้ระยะทางเป็น หน่วย ถ้าเดินข้ามขอบด้านที่ยาว 3 หน่วย จะได้ระยะทางเป็น หน่วย และถ้าเดินข้ามขอบที่ยาว 4 หน่วย จะได้ระยะทางเป็น หน่วย ซึ่งในที่นี้ หน่วย เป็นระยะทางที่สั้นที่สุด ท่านคิดว่าจะมีระยะทางอื่นที่น้อยกว่านี้หรือไม่ และจะกล่าวได้หรือไม่ว่าการเดินจากจุด A ถึงจุด H บนกล่องที่มีขนาดลูกบาศก์หน่วย การเดินข้ามขอบที่ยาว 4 หน่วยซึ่งเป็นขอบที่ยาวที่สุด จะได้ระยะทางที่สั้นที่สุด

เพื่อหาว่าการเดินจากจุด A ถึงจุด H บนกล่องทรงสี่เหลี่ยมมุมฉากใด ๆ การเดินข้ามขอบด้านใดจึงจะมีระยะทางที่สั้นที่สุดนั้น จะพิจารณาจากล่องทรงสี่เหลี่ยมมุมฉากที่มีขนาด X x Y x Z ลูกบาศก์หน่วย และ X > Y > Z ดังรูปที่ 9

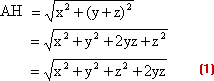
เมื่อใช้การพิจารณาหาระยะทาง AH บนระนาบโดยเส้นทางที่เดินนั้นผ่านขอบที่ยาว x, y และ z ดังรูปที่ 10 และรูปที่ 11 จะได้ดังนี้

                  

เมื่อผ่านขอบที่ยาว x หน่วย   จะได้...

เมื่อผ่านขอบที่ยาว y หน่วย   จะได้...

เมื่อผ่านขอบที่ยาว z หน่วย   จะได้...

จากความยาวของ AH ข้างต้น จะเห็นว่าระยะทางทั้งสามระยะทาง คือ ระยะทางที่ (1), (2) และ (3) ต่างกันอยู่ที่ ผลคูณ yz, xz และ xy ซึ่งหากผลคูณใดน้อยที่สุด ระยะทางนั้นจะสั้นที่สุด

เนื่องจาก x > y > z > 0 จาก x > y จะได้ xz > yz จาก y > z จะได้ xy > xz นั่นคือ จะได้ว่า xy > xz > yz ดังนั้น ผลคูณ yz มีค่าน้อยที่สุด นั่นคือ มีค่าน้อยที่สุด ฉะนั้น การเดินทางจากจุด A ถึงจุด H โดยผ่านขอบที่ยาว x หน่วย ซึ่งเป็นขอบที่ยาวที่สุดจะได้ระยะทางที่สั้นที่สุด

จากการแสดงเหตุผลข้างต้นจะได้ว่าการเดินทางข้ามขอบที่ยาวที่สุด จะได้ระยะทางสั้นที่สุดขอฝากปัญหาไว้ให้คิดต่อไปก็คือ ถ้าจุดที่ใช้ผ่านขอบที่ยาวที่สุด คือ จุด 1 จุด 1 นี้จะต้องอยู่ห่างจากจุดปลายแต่ละจุดของขอบนั้นเป็นระยะเท่าใดบ้างปัญหาที่ตอบได้ไม่ยากใช้สมบัติของรูปสามเหลี่ยมคล้ายมาคิดได้ง่าย

ขอฝากอีกหนึ่งปัญหาให้ช่วยกันคิด ดังนั้นถ้าแมลงตัวหนึ่งเกาะอยู่ที่จุด P ซึ่งอยู่ภายนอกแก้วน้ำใบหนึ่งซึ่งมีลักษณะเป็นทรงกระบอก ดังรูปที่ 12 แมลงตัวนั้นต้องการเดินมากินขนมที่ติดอยู่ที่จุด Q ซึ่งอยู่ภายในแก้วน้ำใบเดียวกันและอยู่ตรงข้ามกับจุด P, จุด P และจุด Q อยู่ต่ำกว่าขอบปากแก้ว r หน่วยรัศมีของกันแก้วเท่ากับ r หน่วย จงหาระยะทางที่สั้นที่สุดที่แมลงตัวนี้จะเดินจาดจุด P ถึงจุด Q


ที่มา : จารุวรรณ แสงทอง, สสวท.